Next: Multidimensional Integrals
Up: Lecture_14_web
Previous: Lecture_14_web
Subsections
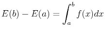
Consider the type of integral that everyone learns initially:
 |
(14-1) |
The equation implies that
is integrable and
 |
(14-2) |
so that the integral can be written in the following way:
 |
(14-3) |
where
and
represent ``points'' on some line
where
is to be evaluated.
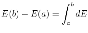
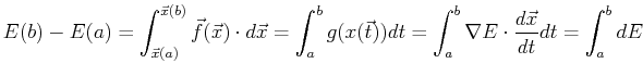
Of course, there is no reason to restrict integration to a
straight line--the generalization is the integration
along a curve (or a path)
.
 |
(14-4) |
This last set of equations assumes that the gradient exists-i.e., there
is some function
that has the gradient
.
If the function being integrated along a simply-connected
path (Eq. 14-4)
is a gradient of some scalar
potential, then the path between two integration points
does not need to be specified: the integral is independent of path.
It also follows that for closed paths, the integral of the gradient
of a scalar potential is zero.1
A simply-connected path is one that does not self-intersect or can
be shrunk to a point without leaving its domain.
There are familiar examples from classical thermodynamics of simple
one-component fluids that
satisfy this property:
Where
is any other set of variables that sufficiently
describe the equilibrium state of the system (i.e,
,
,
,
for
describing a simple one-component fluid).
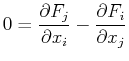
The relation
curl grad
provides method for testing whether some general
is independent of path. If
 |
(14-7) |
or equivalently,
 |
(14-8) |
for all variable pairs
,
,
then
is independent of path.
These are the Maxwell relations of classical thermodynamics.
MATHEMATICA
Example |
| (notebook Lecture-14) |
| (html Lecture-14) |
| (xml+mathml Lecture-14) |
| Path Dependence, Curl, and Curl=0 subspaces
This
example will show that the choice of path matters for
a vector-valued function that does not have vanishing curl
and that it doesn't matter when integrating a function with
vanishing curl.
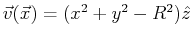
- Path-dependent/Non-conserving Field
- Verify that the function
does not have vanishing curl.
- Integrate
along a path that is wrapped around a cylinder of
radius
, (e.g.,
,
where
)
- Calculate the integral specifically for
,
,
, and
.
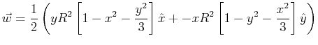
- Path-independent/Conservative Field
- Verify that, for the function
,
.
In fact,
.
- Integrate
along the same cylindrical-type path as above
and see that the integral always vanishes--it is path-independent.
- Path independent on a Subspace
- The vector function
only vanishes on the cylinder or radius
.
- It is easy to find
such that
:
In fact, because we could add any vector function that has vanishing curl
to
there are an infinite number of
such that
.
- Therefore, if we integrate
along a path that is restricted to the
cylinder it should be path independent.
- Using the same methods as above, we find that the integral on the cylinder will
be independent of
--the vector function
is independent of path
as long as the path remains on the cylinder.
|
© W. Craig Carter 2003-, Massachusetts Institute of Technology