Link to Current (updated) notes

next previous Next: Index Up: Lecture_14_web Previous: Integrals along a Curve

Multidimensional Integrals

Perhaps the most straightforward of the higher-dimensional integrations (e.g., vector function along a curve, vector function on a surface) is a scalar function over a domain such as, a rectangular block in two dimensions, or a block in three dimensions. In each case, the integration over a dimension is uncoupled from the others and the problem reduces to pedestrian integration along a coordinate axis.

Sometimes difficulty arises when the domain of integration is not so easily described; in these cases, the limits of integration become functions of another integration variable. While specifying the limits of integration requires a bit of attention, the only thing that makes these cases difficult is that the integrals become tedious and lengthy. MATHEMATICA$ ^{\text{\scriptsize {\textregistered }}}$ removes some of this burden.

A short review of various ways in which a function's variable can appear in an integral follows:

 
The Integral
Its Derivative
Function
of
limits

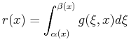
$\displaystyle p(x) = \int_{\alpha(x)}^{\beta(x)} f(\xi) d \xi $

$\displaystyle \frac{dp}{dx} = f(\beta(x))\frac{d\beta}{dx} - f(\alpha(x))\frac{d\alpha}{dx}$

Function
of
integrand

$\displaystyle q(x) = \int_{a}^{b} g(\xi, x) d \xi $

$\displaystyle \frac{dq}{dx} = \int_{a}^{b} \ensuremath{\frac{\partial{g(\xi, x)}}{\partial{x}}} d \xi $

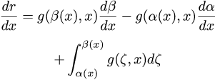
Function
of
both

$\displaystyle r(x) = \int_{\alpha(x)}^{\beta(x)} g(\xi,x) d \xi $

$\displaystyle \begin{split}\frac{dr}{dx} = f(\beta(x))\frac{d\beta}{dx} - f(\al...
...eta(x)} \ensuremath{\frac{\partial{g(\xi, x)}}{\partial{x}}} d \xi \end{split} $


Extra Information and Notes
Potentially interesting but currently unnecessary
Changing of variables is a topic in multivariable calculus that often causes difficulty in classical thermodynamics.

This is an extract of my notes on thermodynamics: http://pruffle.mit.edu/3.00/

Alternative forms of differential relations can be derived by changing variables.

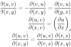
To change variables, a useful scheme using Jacobians can be employed:

\begin{displaymath}\begin{split}\ensuremath{\frac{\partial (u , v)}{\partial (x ...
...\ensuremath{\frac{\partial{v(x,y)}}{\partial{x}}}\ \end{split}\end{displaymath} (14-9)

\begin{displaymath}\begin{split}\ensuremath{\frac{\partial (u , v)}{\partial (x ...
...suremath{\frac{\partial (r , s)}{\partial (x , y)}} \end{split}\end{displaymath} (14-10)

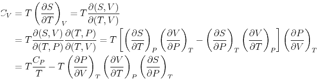
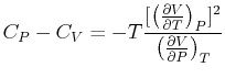
For example, the heat capacity at constant volume is:

\begin{displaymath}\begin{split}C_V & = T \ensuremath{ \left( \frac{\partial{S}}...
...left( \frac{\partial{S}}{\partial{P}} \right)_{T} } \end{split}\end{displaymath} (14-11)

Using the Maxwell relation, $ \ensuremath{
\left( \frac{\partial{S}}{\partial{P}} \right)_{T}
}
= -
\ensuremath{
\left( \frac{\partial{V}}{\partial{T}} \right)_{P}
}
$ ,

$\displaystyle C_P - C_V = -T \frac{ [ \ensuremath{ \left( \frac{\partial{V}}{\p...
...P} } ]^2 }{ \ensuremath{ \left( \frac{\partial{V}}{\partial{P}} \right)_{T} } }$ (14-12)

which demonstrates that $ C_P > C_V$ because, for any stable substance, the volume is a decreasing function of pressure at constant temperature.

MATHEMATICA$ ^{\text{\scriptsize {\textregistered }}}$ Example
(notebook Lecture-14)
(html Lecture-14)
(xml+mathml Lecture-14)
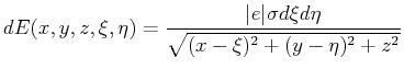
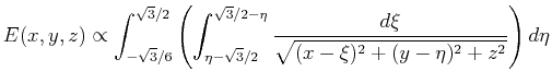
Potential near a Charged and Shaped Surface Patch Example calculation of the spatially-dependent energy of a unit point charge in the vicinity of a charged planar region having the shape of an equilateral triangle. The energy of a point charge $ \vert e\vert$ due to a surface patch on the plane $ z=0$ of size $ d\xi d\eta$ with surface charge density $ \sigma(x,y)$ is:

$\displaystyle dE(x,y,z,\xi,\eta) = \frac{\vert e\vert \sigma(\xi,\eta) d \xi d \eta}{\vec{r}(x,y,z,\xi,\eta)}
$

for a patch with uniform charge,

$\displaystyle dE(x,y,z,\xi,\eta) = \frac{\vert e\vert \sigma d \xi d \eta}
{\sqrt{(x - \xi)^2 + (y - \eta)^2 + z^2}}
$

For an equilateral triangle with sides of length one and center at the origin, the vertices can be located at $ (0, \sqrt{3}/2)$ and $ (\pm{1/2},-\sqrt{3}/6)$ . The integration becomes

$\displaystyle E(x,y,z) \propto \int_{-\sqrt{3}/6}^{\sqrt{3}/2}
\left(
\int_{\et...
...2 - \eta} \frac{d\xi}
{\sqrt{(x - \xi)^2 + (y - \eta)^2 + z^2}}
\right)
d \eta
$

MATHEMATICA$ ^{\text{\scriptsize {\textregistered }}}$ 's syntax is to integrate over the last integration iterator first, and the first iterator last; i.e., the expression:
Integrate[1/r[x,y,z], {x,a,b}, {y,f[x],g[x]}, {z,p[x,y],q[x,y]}]
would integrate over $ z$ first, $ y$ second, and lastly $ x$ . The closed form of the above integral appears to be unknown to MATHEMATICA$ ^{\text{\scriptsize {\textregistered }}}$ . However, the energy can be integrated numerically without difficulty and visualized.


© W. Craig Carter 2003-, Massachusetts Institute of Technology