Link to Current (updated) notes

next previous Next: Curl and Its Interpretation Up: Lecture_13_web Previous: Generalizing the Derivative
Subsections

Divergence and Its Interpretation

Coordinate Systems

The above definitions are for a Cartesian $ (x,y,z)$ system. Sometimes it is more convenient to work in other (spherical, cylindrical, etc) coordinate systems. In other coordinate systems, the derivative operations $ \ensuremath{\nabla}$ , $ \ensuremath{\nabla}\cdot$ , and $ \ensuremath{\nabla}\times$ have different forms. These other forms can be derived, or looked up in a mathematical handbook, or specified by using the MATHEMATICA$ ^{\text{\scriptsize {\textregistered }}}$ package ``VectorAnalysis.''

MATHEMATICA$ ^{\text{\scriptsize {\textregistered }}}$ Example
(notebook Lecture-13)
(html Lecture-13)
(xml+mathml Lecture-13)
Coordinate System Transformations

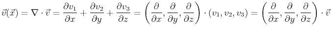
The divergence operates on a vector field that is a function of position, $ \vec{v}(x,y,z)$ = $ \vec{v}(\vec{x})$ = $ (v_1 (\vec{x}), v_2(\vec{x}), v_3(\vec{x}))$ , and returns a scalar that is a function of position. The scalar field is often called the divergence field of $ \vec{v}$ or simply the divergence of $ \vec{v}$ .

div $\displaystyle \vec{v}(\vec{x}) = \ensuremath{\nabla}\cdot \vec{v}= \frac{\parti...
...frac{\partial }{\partial y}, \frac{\partial }{\partial z} \right) \cdot \vec{v}$ (13-2)

Think about what the divergence means,



© W. Craig Carter 2003-, Massachusetts Institute of Technology