Link to Current (updated) notes

next previous Next: Index Up: Lecture_13_web Previous: Divergence and Its Interpretation

Curl and Its Interpretation

The curl is the vector valued derivative of a vector function. As illustrated below, its operation can be geometrically interpreted as the rotation of a field about a point.

For a vector-valued function of $ (x,y,z)$ :

$\displaystyle \vec{v}(x,y,z) =\vec{v}(\vec{x}) = (v_1(\vec{x}) , v_2(\vec{x}) , v_3(\vec{x})) = v_1(x,y,z) \hat{i} + v_2(x,y,z) \hat{j} + v_3(x,y,z) \hat{k}$ (13-3)

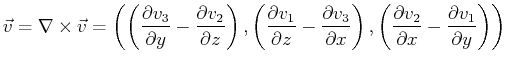
the curl derivative operation is another vector defined by:

curl $\displaystyle \vec{v} = \nabla \times \vec{v} = \left( \left(\ensuremath{\frac{...
...}{\partial{x}}} - \ensuremath{\frac{\partial{v_1}}{\partial{y}}}\right) \right)$ (13-4)

or with the memory-device:

curl $\displaystyle \vec{v} = \nabla \times \vec{v} = \det \left( \begin{array}{ccc} ...
...nsuremath{\frac{\partial{}}{\partial{z}}}\ v_1 & v_2 & v_3 \end{array} \right)$ (13-5)

MATHEMATICA$ ^{\text{\scriptsize {\textregistered }}}$ Example
(notebook Lecture-13)
(html Lecture-13)
(xml+mathml Lecture-13)
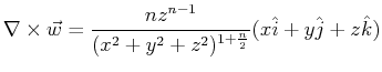
Calculating the Curl of a Function Consider the vector function that is often used in Brakke's Surface Evolver program:

$\displaystyle \vec{w} = \frac{z^n}
{(x^2 + y^2)(x^2 + y^2 + z^2)^{\frac{n}{2}}}
(y \hat{i} - x \hat{j})
$

This can be shown easily, using MATHEMATICA$ ^{\text{\scriptsize {\textregistered }}}$ , to have the property:

$\displaystyle \nabla \times \vec{w} =
\frac{n z^{n-1}}
{(x^2 + y^2 + z^2)^{1 + \frac{n}{2}}}
(x \hat{i} + y \hat{j} + z \hat{k})
$

which is spherically symmetric for $ n=1$ and convenient for turning surface integrals over a portion of a sphere into a path-integral over a curve on a sphere.
  1. Create vector function $ \vec{w}$ above and visualize using the PlotVectorField3D function in MATHEMATICA$ ^{\text{\scriptsize {\textregistered }}}$ 's PlotField3D package.
  2. The function will be singular for $ n>1$ along the $ z-axis$ , this singularity will be communicated during the numerical evaluations for visualization unless some care is applied.
  3. Demonstrate the above assertion about $ \vec{w}$ and its curl.
  4. Visualize the curl: note that the field is points up with large magnitude near the vortex at the origin.
  5. Demonstrate that the divergence of the curl of $ \vec{w}$ vanishes for any $ n$ .

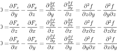
One important result that has physical implications is that a the curl of a gradient is always zero: $ f(\vec{x}) = f(x,y,z)$ :

$\displaystyle \nabla \times (\ensuremath{\nabla}f) = 0$ (13-6)

Therefore if some vector function $ \vec{F}(x,y,z) =
(F_x , F_y, F_z)$ can be derived from a scalar potential, $ \ensuremath{\nabla}f = \vec{F}$ , then the curl of $ \vec{F}$ must be zero. This is the property of an exact differential $ df = (\nabla f) \cdot (dx, dy, dz) = \vec{F} \cdot (dx, dy, dz)$ . Maxwell's relations follow from equation 13-6:

\begin{displaymath}\begin{split}0 = & \ensuremath{\frac{\partial{F_z}}{\partial{...
...math{\frac{\partial^2{f}}{\partial{x} \partial{y}}} \end{split}\end{displaymath} (13-7)

Another interpretation is that gradient fields are curl free, irrotational, or conservative.

The notion of conservative means that, if a vector function can be derived as the gradient of a scalar potential, then integrals of the vector function over any path is zero for a closed curve--meaning that there is no change in ``state;'' energy is a common state function.

Here is a picture that helps visualize why the curl invokes names associated with spinning, rotation, etc.

curl-example.png
Figure: Consider a small paddle wheel placed in a set of stream lines defined by a vector field of position. If the $ v_y$ component is an increasing function of $ x$ , this tends to make the paddle wheel want to spin (positive, counter-clockwise) about the $ \hat{k}$ -axis. If the $ v_x$ component is a decreasing function of $ y$ , this tends to make the paddle wheel want to spin (positive, counter-clockwise) about the $ \hat{k}$ -axis. The net impulse to spin around the $ \hat{k}$ -axis is the sum of the two.
Note that this is independent of the reference frame because a constant velocity $ \vec{v} =$   const. and the local acceleration $ \vec{v} = \nabla f$ can subtracted because of Eq. 13-8.
\resizebox{6in}{!}
{\includegraphics{figures/newbar.eps}}

Another important result is that divergence of any curl is also zero, for $ \vec{v} (\vec{x}) = \vec{v} (x,y,z)$ :

$\displaystyle \nabla \cdot (\nabla \times \vec{v}) = 0$ (13-8)



© W. Craig Carter 2003-, Massachusetts Institute of Technology