Link to Current (updated) notes

next previous Next: Exponentiation and Relations to Trignometric Functions Up: Lecture_08_web Previous: Complex Numbers and Operations in the Complex Plane
Subsections

Polar Form of Complex Numbers

There are physical situations in which a transformation from Cartesian ($ x, y$ ) coordinates to polar (or cylindrical) coordinates ($ r, \theta$ ) simplifies the algebra that is used to describe the physical problem.

An equivalent coordinate transformation for complex numbers, $ z = x + \imath y$ , has an analogous simplifying effect for multiplicative operations on complex numbers. It has been demonstrated how the complex conjugate, $ \bar{z}$ , is related to a reflection--multiplication is related to a counter-clockwise rotation in the complex plane. Counter-clockwise rotation corresponds to increasing $ \theta$ .

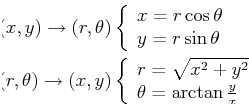
The transformations are:

\begin{displaymath}\begin{split}(x,y) \rightarrow (r, \theta) & \left\{ \begin{a...
... \theta = \arctan \frac{y}{x}\ \end{array} \right. \end{split}\end{displaymath} (08-4)

where $ \arctan \in (-\pi,\pi]$ .

Multiplication, Division, and Roots in Polar Form

One advantage of the polar complex form is the simplicity of multiplication operations:

DeMoivre's formula:

$\displaystyle z^n = r^n (\cos n \theta + \imath \sin n \theta)$ (08-5)

$\displaystyle \sqrt[n]{z} = \sqrt[n]{z} (\cos \frac{\theta + 2 k \pi}{n} + \imath \sin \frac{\theta + 2 k \pi}{n})$ (08-6)

MATHEMATICA$ ^{\text{\scriptsize {\textregistered }}}$ Example
(notebook Lecture-07)
(html Lecture-07)
(xml+mathml Lecture-07)
Polar Form of Complex Numbers



© W. Craig Carter 2003-, Massachusetts Institute of Technology