Link to Current (updated) notes

next previous Next: Index Up: Lecture_25_web Previous: Phase Plane and Critical Points
Subsections


Stability of Critical Points

For the two-dimensional linear system

$\displaystyle \ensuremath{\frac{d{}}{d{t}}}\left( \begin{array}{c} \eta_1(t)\ ...
...\end{array} \right) \left( \begin{array}{c} \eta_1\ \eta_2 \end{array} \right)$ (25-5)

can be analyzed because the eigenvalues can be calculated directly from the quadratic equation.

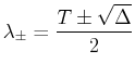
Every two-by-two matrix has two invariants (i.e., values that do not depend on a unitary transformation of coordinates). These invariants are the trace, $ T$ of the matrix (the sum of all the diagonals) and the determinant $ D$ . The eigenvalue equation can be written in terms of these two invariants:

$\displaystyle \lambda^2 - T \lambda + D = 0$ (25-6)

The discriminant $ \Delta \equiv T^2 - 4D$ appears in the solutions to the eigenvalues:

$\displaystyle \lambda_{\pm} = \frac{T \pm \sqrt{\Delta}}{2}$ (25-7)

There are five regions of behavior:
$ \Delta \geq 0$
The eigenvalues are real.
Eigenvalues both positive
An Unstable Node: All trajectories in the neighborhood of the fixed point will be directed outwards and away from the fixed point.
Eigenvalues both negative
A Stable Node: All trajectories in the neighborhood of the fixed point will be directed towards the fixed point.
Eigenvalues opposite sign
An Unstable Saddle Node: Trajectories in the general direction of the negative eigenvalue's eigenvector will initially approach the fixed point but will diverge as they approach a region dominated by the positive (unstable) eigenvalue.
$ \Delta < 0$
Eigenvalues are complex conjugates--their real parts are equal and their imaginary parts have equal magnitudes but opposite sign.
Real parts positive
An Unstable Spiral: All trajectories in the neighborhood of the fixed point spiral away from the fixed point with ever increasing radius.
Real parts negative
An Stable Spiral: All trajectories in the neighborhood of the fixed point spiral into the fixed point with ever decreasing radius.

The curves separating these regions have singular behavior. For example, where $ T= 0$ for positive $ D$ , the eigenvalues are purely imaginary and trajectories circulate about the fixed point in a stable orbit. This is called a center and is the case for an undamped harmonic oscillator.

The regions can be mapped with the invariants and the following diagram illustrates the behavior.

phase-plane-regions.png
Figure: Illustration of the five regions according to their behavior near the fixed point.
\resizebox{6in}{!}
{\includegraphics{figures/newbar.eps}}

At the point where the five regions come together, all the entries of the matrix of coefficients are zero and the physical behavior is then determined by expanding Eq. 25-1 to the next highest order at which the coefficients are not all zero.

MATHEMATICA$ ^{\text{\scriptsize {\textregistered }}}$ Example
(notebook Lecture-25)
(html Lecture-25)
(xml+mathml Lecture-25)
Predicting Behavior at a Fixed Point in the Plane


MATHEMATICA$ ^{\text{\scriptsize {\textregistered }}}$ Example
(notebook Lecture-25)
(html Lecture-25)
(xml+mathml Lecture-25)
Visualizing the Behavior at a Fixed Point in the Plane

  1. Write functions that take the matrix coefficients and directly calculate the solution for either a specified initial point or an initial point picked randomly.

  2. Plot a trajectory from a solution.

  3. Write a fairly complete function for visualization. Let the function print out a description of the physical behavior and then illustrate the trajectories with colored arrows for a large set of random initial points.

  4. Visualize each region in Fig. 25-2 and a center.

Unstable Manifolds

The phase portraits that were visualized in the above example help illustrate a very powerful mathematical method from non-linear mechanics.

Consider the saddle-node that has one positive (unstable) and one negative (stable) eigenvalue. Those initial points that are located in regions where the negative (stable) eigenvalue dominates are quickly swept towards the fixed point and then follow the unstable direction away from the fixed point. Roughly speaking, the stable values are `smashed' onto the unstable direction and virtually all of the motion takes place near the unstable direction.

This idea allows a large system (i.e., one in which the vector $ \vec{y}(t)$ has many components) to be reduced to a smaller system in which the stable directions have been approximated by a thin region near the trajectories associated with the unstable eigenvalues. This is sometimes called reduction of ``fast variables'' onto the unstable manifolds.


© W. Craig Carter 2003-, Massachusetts Institute of Technology