Next: Harmonic Oscillators
Up: Lecture_22_web
Previous: Lecture_22_web
Subsections
The idea of a function as ``something'' that takes a value
(real, complex, vector, etc.) as ``input'' and returns ``something else''
as ``output'' should be very familiar and useful.
This idea can be generalized to operators
that take a function as an argument and return
another function.
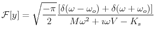
The derivative operator operates on a function
and returns another function that describes how
the function changes:
![\begin{displaymath}\begin{split}\mathcal{D}[f(x)] & = \ensuremath{\frac{d{f}}{d{...
...)]\\ \mathcal{D}[f(x) + g(x)] = & D[f(x)] + D[g(x)] \end{split}\end{displaymath}](img1.png) |
(22-1) |
The last two equations above indicate
that the ``differential operator'' is a linear operator.
The integration operator is the right-inverse of
![$\displaystyle \mathcal{D} [\mathcal{I}[ f(x)]] = \mathcal{D}[ \int f(x) dx]$](img3.png) |
(22-2) |
but is only the left-inverse up to an arbitrary constant.
Consider the differential operator that returns a constant
multiplied by itself
 |
(22-3) |
which is another way to write the
the homogenous linear first-order ODE and
has the same form as an eigenvalue equation.
In fact,
, can be
considered an eigenfunction of
Eq. 22-3.
For the homogeneous second-order equation,
![$\displaystyle \left(\mathcal{D}^2 + \beta \mathcal{D} - \gamma \right)[ f(x)] = 0$](img6.png) |
(22-4) |
It was determined that there were two eigensolutions that can
be used to span the entire solution space:
 |
(22-5) |
Operators can be used algebraically,
consider the inhomogeneous second-order ODE
![$\displaystyle \left(a \mathcal{D}^2 + b \mathcal{D} + c\right)[y(x)] = x^3$](img8.png) |
(22-6) |
By treating the operator as an algebraic quantity, a
solution can be found1
 |
(22-7) |
which solves Eq. 22-6.
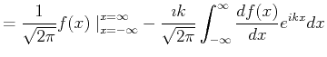
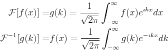
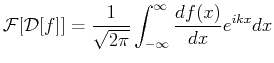
The Fourier transform is also a linear operator:
![\begin{displaymath}\begin{split}\mathcal{F}[f(x)] =& g(k) = \frac{1}{\sqrt{2 \pi...
...i}} \int_{-\infty}^{\infty} g(k) e^{-\imath k x} dk \end{split}\end{displaymath}](img10.png) |
(22-8) |
Combining operators is another useful way to solve differential equations.
Consider the Fourier transform,
, operating on the
differential operator,
:
![$\displaystyle \mathcal{F}[\mathcal{D}[f]] = \frac{1}{\sqrt{2 \pi}} \int_{-\infty}^{\infty} \ensuremath{\frac{d{f(x)}}{d{x}}} e^{i k x} dx$](img13.png) |
(22-9) |
Integrating by parts,
 |
(22-10) |
If the Fourier transform of
exists, then typically2
.
In this case,
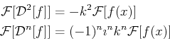
![$\displaystyle \mathcal{F}[\mathcal{D}[f]] = -i k \mathcal{F}[f(x)]$](img19.png) |
(22-11) |
and by extrapolation:
![\begin{displaymath}\begin{split}\mathcal{F}[\mathcal{D}^2[f]] & = -k^2 \mathcal{...
...{D}^n[f]] & = (-1)^n \imath^n k^n \mathcal{F}[f(x)] \end{split}\end{displaymath}](img20.png) |
(22-12) |
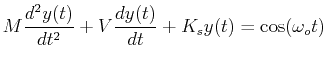
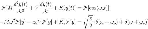
Consider the heterogeneous second-order linear ODE which
represent a forced, damped, harmonic oscillator that
will be discussed later in this lecture.
 |
(22-13) |
Apply a Fourier transform (mapping from the time (
) domain to
a frequency (
) domain) to both sides of 22-13:
![\begin{displaymath}\begin{split}\mathcal{F}[M \ensuremath{\frac{d^2{y(t)}}{d{t}^...
...ta(\omega-\omega_o) +\delta(\omega+\omega_o)\right] \end{split}\end{displaymath}](img24.png) |
(22-14) |
because the Dirac Delta functions result from taking the
Fourier transform of
.
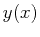
Equation 22-14 can be solved for the Fourier
transform:
![$\displaystyle \mathcal{F}[y] = \sqrt{\frac{-\pi}{2}} \frac{ \left[ \delta(\omeg...
...ega_o) +\delta(\omega+\omega_o)\right] } { M \omega^2 + \imath \omega V - K_s }$](img26.png) |
(22-15) |
In other words, the particular solution Eq. 22-13
can be obtained by finding the
function
that has a Fourier transform equal the
the right-hand-side of Eq. 22-15-or, equivalently,
operating with the inverse Fourier transform on the
right-hand-side of Eq. 22-15.
MATHEMATICA
Example |
| (notebook Lecture-22) |
| (html Lecture-22) |
| (xml+mathml Lecture-22) |
| Operator Calculus and the Solution to the Damped-Forces Harmonic
Oscillator Model
MATHEMATICA
does have built-in functions to take Fourier (and other kinds of)
integral transforms.
However, as will be seen below, using operational calculus to
solve ODEs is not necessarily simple in
MATHEMATICA
.
Nevertheless, it may be instructive to force it--if only as an
an example of using the good tool for the wrong purpose.
|
Operators to Functionals
Equally powerful is the concept of a functional which
takes a function as an argument and returns a value.
For example
, defined below, operates on
a function
and returns its surface of revolution's area
for
:
![$\displaystyle \mathcal{S}[y(x)] = 2 \pi \int_0^L y \sqrt{1 + \left(\ensuremath{\frac{d{y}}{d{x}}}\right)^2} dx$](img34.png) |
(22-16) |
This is the functional to be minimized for the question, ``Of all
surfaces of revolution that span from
to
,
which is the
that has the smallest surface area?''
This idea of finding ``which function maximizes or minimizes something''
can be very powerful and practical.
Suppose you are asked to run an ``up-hill'' race from some starting
point
to some ending point
and there
is a ridge
.
What is the most efficient running route
?3
Figure:
The terrain separating the
starting point
and ending point
.
Assuming a model for how much running speed slows with the
steepness of the path--which route would be quicker, one (
)
that starts going up-hill at first or another (
) that initially
traverses a lot of ground quickly?
|
A reasonable model for running speed as a function of climbing-angle
is
 |
(22-17) |
where
is the arclength along the path.
The maximum speed occurs on flat ground
and running
speed monotonically falls to zero as
.
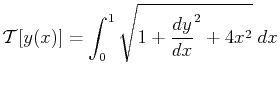
To calculate the time required to traverse any path
with endpoints
and
,
 |
(22-18) |
So, with the hill
, the time as a functional of the
path is:
![$\displaystyle \mathcal{T}[y(x)] = \int_0^1 \sqrt{1 + {\ensuremath{\frac{d{y}}{d{x}}}}^2 + 4 x^2} \; dx$](img61.png) |
(22-19) |
There is a powerful and beautiful mathematical method for
finding the extremal functions of functionals which is
called Calculus of Variations.
By using the calculus of variations, the optimal path
for
Eq. 22-19 can be determined:
 |
(22-20) |
The approximation determined in the
MATHEMATICA
example above is
pretty good.
© W. Craig Carter 2003-, Massachusetts Institute of Technology