Link to Current (updated) notes

next previous Next: Index Up: Lecture_17_web Previous: Other forms of the Fourier coefficients

Complex Form of the Fourier Series

The behavior of the Fourier coefficients for both the odd (sine) and for the even (cosine) terms was illustrated above. Functions that are even about the center of the fundamental domain (reflection symmetry) will have only even terms--all the sine terms will vanish. Functions that are odd about the center of the fundamental domain (reflections across the center of the domain and then across the $ x$ -axis.) will have only odd terms--all the cosine terms will vanish.

Functions with no odd or even symmetry will have both types of terms (odd and even) in its expansion. This is a restatement of the fact that any function can be decomposed into odd and even parts (see Eq. 17-3).

This suggests a short-hand in Eq. 17-4 can be used that combines both odd and even series into one single form. However, because the odd terms will all be multiplied by the imaginary number $ \imath$ , the coefficients will generally be complex. Also because $ \cos(nx) = (\exp(inx) + \exp(-inx))/2$ , writing the sum in terms of exponential functions only will require that the sum must be over both positive and negative integers.

For a periodic domain $ x \in (0, \lambda)$ , $ f(x) = f(x + \lambda)$ , the complex form of the fourier series is given by:

\begin{displaymath}\begin{split}f(x) = & \sum_{n=-\infty}^{\infty} \mathcal{C}_{...
...}{\lambda} \int_0^\lambda f(x) e^{-\imath k_n x} dx \end{split}\end{displaymath} (17-12)

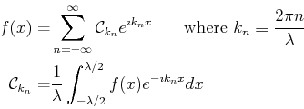
Because of the orthogonality of the basis functions $ \exp(\imath k_n x)$ , the domain can be moved to any wavelength, the following is also true:

\begin{displaymath}\begin{split}f(x) = & \sum_{n=-\infty}^{\infty} \mathcal{C}_{...
..._{-\lambda/2}^{\lambda/2} f(x) e^{-\imath k_n x} dx \end{split}\end{displaymath} (17-13)

although the coefficients may have a different form.




© W. Craig Carter 2003-, Massachusetts Institute of Technology