Link to Current (updated) notes

next previous Next: Representing a particular function with a sum of Up: Lecture_17_web Previous: Periodic Functions


Odd and Even Functions

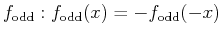
The trigonometric functions have the additional properties of being an odd function about the point $ x=0$ : $ f_{\text{odd}}: f_{\text{odd}}(x) = -f_{\text{odd}}(-x)$ in the case of the sine, and an even function in the case of the cosine: $ f_{\text{even}}: f_{\text{even}}(x) = f_{\text{even}}(-x)$ .

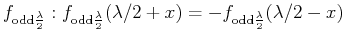
This can generalized to say that a function is even or odd about a point $ \lambda/2$ : $ f_{\text{odd} \frac{\lambda}{2}}: f_{\text{odd} \frac{\lambda}{2}}(\lambda/2 + x) = -f_{\text{odd} \frac{\lambda}{2}}(\lambda/2 -x)$ and $ f_{\text{even} \frac{\lambda}{2}}: f_{\text{even} \frac{\lambda}{2}}(\lambda/2 + x) = f_{\text{even} \frac{\lambda}{2}}(\lambda/2 -x)$ .

Any function can be decomposed into an odd and even sum:

$\displaystyle g(x) = g_{\text{even}} + g_{\text{odd}}$ (17-3)


The sine and cosine functions can be considered the odd and even parts of the generalized trigonometric function:

$\displaystyle e^{i x} = \cos(x) + \imath \sin(x)$ (17-4)

with period $ 2 \pi$ .



© W. Craig Carter 2003-, Massachusetts Institute of Technology