Link to Current (updated) notes

next previous Next: Scalar Functions with Vector Argument Up: Lecture_12_web Previous: Lecture_12_web
Subsections

The Calculus of Curves

In the last lecture, the derivatives of a vector that varied continuously with a parameter, $ \vec{r}(t)$ , were considered. It is natural to think of $ \vec{r}(t)$ as a curve in whatever space the vector $ \vec{r}$ is defined. In this way, a curve is represented by $ N$ coordinates as a single value takes on a range of numbers.

MATHEMATICA$ ^{\text{\scriptsize {\textregistered }}}$ Example
(notebook Lecture-12)
(html Lecture-12)
(xml+mathml Lecture-12)
Curves, Tangents, Surfaces

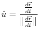
Because the derivative of a curve with respect to its parameter is a tangent vector, the unit tangent can be defined immediately:

$\displaystyle \hat{u} = \frac{\ensuremath{\frac{d{\vec{r}}}{d{t}}}}{\norm {\ensuremath{\frac{d{\vec{r}}}{d{t}}}}}$ (12-1)

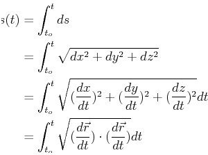
It is convenient to find a new parameter, $ s(t)$ , that would make the denominator in Eq. 12-1 equal to one. This parameter, $ s(t)$ , is the arc-length:

\begin{displaymath}\begin{split}s(t) & = \int_{t_o}^{t} ds \ & = \int_{t_o}^{t}...
...}}})\cdot(\ensuremath{\frac{d{\vec{r}}}{d{t}}})} dt \end{split}\end{displaymath} (12-2)

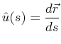
and with $ s$ instead of $ t$ ,

$\displaystyle \hat{u}(s) = \ensuremath{\frac{d{\vec{r}}}{d{s}}}$ (12-3)

This is natural because $ \norm {\vec{r}}$ and $ s$ have the same units (i.e., meters and meters, foots and feet, etc) instead of, for instance, time, $ t$ , that makes $ {d\vec{r}}/{dt}$ a velocity and involving two different kinds of units (e.g., furlongs and hours).

With the arc-length $ s$ , the magnitude of the curvature is particularly simple,

$\displaystyle \kappa(s) = \norm {\ensuremath{\frac{d{\hat{u}}}{d{s}}}} = \norm {\ensuremath{\frac{d^2{\vec{r}}}{d{s}^2}}}$ (12-4)

as is its interpretation--the curvature is a measure of how rapidly the unit tangent is changing direction.

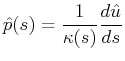
Furthermore, the rate at which the unit tangent changes direction is a vector that must be normal to the tangent (because $ d(\hat{u} \cdot \hat{u} = 1) = 0$ ) and therefore the unit normal is defined by:

$\displaystyle \hat{p}(s) = \frac{1}{\kappa(s)} \ensuremath{\frac{d{\hat{u}}}{d{s}}}$ (12-5)

There two unit vectors that are locally normal to the unit tangent vector $ \hat{u'}(s)$ and the curve unit normal $ \hat{p}(s) \times \hat{u}$ and $ \hat{u}(s) \times \hat{p}$ . This last choice is called the unit binormal, $ \hat{b} \equiv \hat{u}(s) \times \hat{p}$ and the three vectors together form a nice little moving orthogonal axis pinned to the curve. Furthermore, there are convenient relations between the vectors and differential geometric quantities called the Frenet equations.


Using Arc-Length as a Curve's Parameter

However, it should be pointed out that--although re-parameterizing a curve in terms of its arc-length makes for simple analysis of a curve--achieving this re-parameterization is not necessarily simple.

Consider the steps required to represent a curve $ \vec{r}(t)$ in terms of its arc-length:

integration
The integral in Eq. 12-2 may or may not have a closed form for $ s(t)$ .

If it does then we can perform the following operation:

inversion
$ s(t)$ is typically a complicated function that is not easy to invert, i.e., solve for $ t$ in terms of $ s$ to get a $ t(s)$ that can be substituted into $ \vec{r}(t(s)) = \vec{r}(s)$ .

These difficulties usually result in treating the problem symbolically and the resorting to numerical methods of achieving the integration and inversion steps.

MATHEMATICA$ ^{\text{\scriptsize {\textregistered }}}$ Example
(notebook Lecture-12)
(html Lecture-12)
(xml+mathml Lecture-12)
Calculating arclength



© W. Craig Carter 2003-, Massachusetts Institute of Technology