Link to Current (updated) notes

next previous Next: Matrices and Matrix Operations Up: Lecture_06_web Previous: Lecture_06_web
Subsections

Vectors

Vectors as a list of associated information


$\displaystyle \vec{x} = \left( \begin{array}{l} \mbox{number of steps to the ea...
...teps to the north}\ \mbox{number steps up vertical ladder} \end{array} \right)$ (06-1)

$\displaystyle \vec{x} = \left( \begin{array}{c} 3\ 2.4\ 1.5 \end{array} \right)$   determines position   $\displaystyle \left( \begin{array}{c} x_{\mbox{east}}\ x_{\mbox{north}}\ x_{\mbox{up}}\ \end{array} \right)$ (06-2)


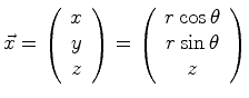
The vector above is just one example of a position vector. We could also use coordinate systems that differ from the Cartesian $ (x,y,z)$ to represent the location. For example, the location in cylindrical coordinate system could be written as

$\displaystyle \vec{x} = \left( \begin{array}{c} x\ y\ z \end{array} \right) = \left( \begin{array}{c} r \cos\theta\ r \sin \theta\ z \end{array} \right)$ (06-3)

as a Cartesian vector in terms of the cylindrical coordinates $ (r, \theta, z)$ .

The position could also be written as a cylindrical, or polar vector

$\displaystyle \vec{x} = \left( \begin{array}{c} r\ \theta\ z \end{array} \rig...
...egin{array}{c} \sqrt{x^2 + y^2} \ \tan^{-1}\frac{y}{x}\ z \end{array} \right)$ (06-4)

where the last term is the polar vector in terms of the Cartesian coordinates. Similar rules would apply for other coordinate systems like spherical, elliptic, etc.

However, vectors need not represent position at all, for example:

$\displaystyle \vec{n} = \left( \begin{array}{l} \mbox{number of Hydrogen atoms}...
...atoms}\ \vdots\ \mbox{number of Plutonium atoms}\ \vdots \end{array} \right)$ (06-5)



Scalar multiplication

$\displaystyle \frac{1}{\ensuremath{\mbox{N}_{\mbox{avag.}}} \newcommand {\pasca...
...les of Li}\ \vdots\ \mbox{moles of Pu}\ \vdots \end{array} \right) = \vec{m}$ (06-6)


Vector norms


$\displaystyle \norm {\vec{x}} \equiv$ $\displaystyle x_1^2 + x_2^2 + \ldots x_k^2 =$   euclidean separation (06-7)
$\displaystyle \norm {\vec{n}} \equiv$ $\displaystyle n_{\mbox{H}} + n_{\mbox{He}} + \ldots n_{132?} = \text{total number of atoms}$ (06-8)


Unit vectors


unit direction vector   mole fraction composition (06-9)
$\displaystyle \hat{x} = \frac{\vec{x}}{\norm {\vec{x}}}$   $\displaystyle \hat{m} = \frac{\vec{m}}{\norm {\vec{m}}}$ (06-10)

Extra Information and Notes
Potentially interesting but currently unnecessary
If $ \Re$ stands for the set of all real numbers (i.e., 0 , $ -1.6$ , $ \pi/2$ , etc.), then can use a shorthand to specify the position vector, $ \vec{x} \in \Re^N$ (e.g., each of the $ N$ entries in the vector of length $ N$ must be a real number--or in the set of real numbers. $ \norm {\vec{x}} \in \Re$ .

For the unit (direction) vector: $ \hat{x} = \{\vec{x} \in \Re^3 \mid \norm {\vec{x}} = 1 \}$ (i.e, the unit direction vector is the set of all position vectors such that their length is unity--or, the unit direction vector is the subset of all position vectors that lie on the unit sphere. $ \vec{x}$ and $ \hat{x}$ have the same number of entries, but compared to $ \vec{x}$ , the number of independent entries in $ \hat{x}$ is smaller by one.

For the case of the composition vector, it is strange to consider the case of a negative number of atoms, so the mole fraction vector $ \vec{n} \in (\Re^+)^{\mbox{elements}}$ ($ \Re^+$ is the real non-negative numbers) and $ \hat{m} \in (\Re^+)^{\mbox{(elements-1)}}$ .




© W. Craig Carter 2003-, Massachusetts Institute of Technology