Link to Current (updated) notes

next previous Next: Index Up: Lecture_27_web Previous: Lecture_27_web
Subsections

Sturm-Liouville Theory, Orthogonal Eigenfunctions

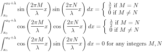
The trigonometric functions have the property that they are orthogonal, that is:

\begin{displaymath}\begin{split}\int_{x_0}^{x_0 + \lambda} & \sin\left( \frac{2 ...
...} x \right) dx = 0 \text{ for any integers } M, N\ \end{split}\end{displaymath} (27-1)

This property allowed the Fourier series to be obtained by multiplying a function by one of the basis functions and then integrating over the domain.


extra notes: Inner Products for Functions

The orthogonality relation for the trigonometric functions requires two things:
Range
The range over which the functions are defined (i.e., values of $ x$ for which $ f(x)$ and $ g(x)$ have a inner product defined) and integrated in their inner product definition.
Inner product
The projection operation of one function onto another.

For the trignometric functions, the inner product was a fairly obvious choice:

$\displaystyle f(x) \cdot g(x) = \int_0^{2 \pi} f(x) g(x) dx$ (27-2)

This inner product follows from the l2-norm for functions:

$\displaystyle \vert f(x)\vert = \sqrt{\int f(x) f(x) dx} = \sqrt{\int f^2} dx$ (27-3)

which is one of the obvious ways to measure ``the distance of a function from zero.'' The l2-norm is employed in least-squares-fits.

However, there are different choices of inner products. For example, the Laguerre polynomials (or Laguerre functions) $ L_n(x)$ defined by

$\displaystyle L_n(x) = \frac{e^x}{n!} \frac{d^n}{dx^n} \left(x^n e^{-x}\right)$ (27-4)

for $ 0 < x < \infty$ have the orthogonality relation for a weighted inner product:

$\displaystyle L_n(x) \cdot L_m(x) = \int_0^\infty e^{-x} L_n(x) L_m(x) dx = \delta_{mn}$ (27-5)

There are many other kinds of functional norms.

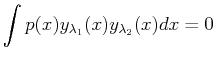
Many ordinary differential equations--including the harmonic oscillator, Bessel, and Legendre--can be written in a general form:

$\displaystyle \ensuremath{\frac{d{}}{d{x}}}\left[ r(x) \ensuremath{\frac{d{y}}{d{x}}} \right] + \left[q(x) + \lambda p(x)\right] y(x) = 0$ (27-6)

which is called the Sturm-Liouville problem. Solutions to this equation are called eigensolutions for an eigenvalue $ \lambda$ . The function $ p(x)$ appears in the orthonormality relation:

$\displaystyle \int p(x) y_{\lambda_1}(x) y_{\lambda_2}(x) dx = 0$    if $\displaystyle \lambda_1 \neq \lambda_2$ (27-7)

The same "trick" of multiplying a function by one of the eigensolutions and then summing a series can be used to generate series solutions as a superposition of eigensolutions.

MATHEMATICA$ ^{\text{\scriptsize {\textregistered }}}$ Example
(notebook Lecture-27)
(html Lecture-27)
(xml+mathml Lecture-27)
Legendre functions




© W. Craig Carter 2003-, Massachusetts Institute of Technology