Link to Current (updated) notes

next previous Next: Index Up: Lecture_26_web Previous: Lecture_26_web
Subsections

Special Functions

Most calculators have a button that evaluates the eigensolution to the simple first-order ODE $ dy/dt = \lambda y$ . Also, most calculators have buttons that evaluate the eigensolutions to the simple second-order ODE: $ d^2y/dt^2 = \lambda y$ .

Of course, these are also just the exponential and trigonometric functions.

However, there are many more simple differential equations that follow from physical models and these also have known solutions that are not simple combinations of sines, cosines, and exponentials. The solutions to these differential equations are called special functions. MATHEMATICA$ ^{\text{\scriptsize {\textregistered }}}$ has an extensive list of special functions and these are collected in its help browser.

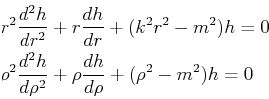
For example, the positions of a vibrating drum head are modeled with in cylindrical coordinates by Bessel's equation:

\begin{displaymath}\begin{split}r^2 \ensuremath{\frac{d^2{h}}{d{r}^2}} & + r \en...
...remath{\frac{d{h}}{d{\rho}}} + (\rho^2 - m^2) h = 0 \end{split}\end{displaymath} (26-1)

where in the second equation $ \rho = k r$ . The displacement of the drum is $ h(r)$ ; $ k$ is related to an inverse wavelength (e.g., the wavelength would be the radius of the drum divided by the number of maxima in the drum head shape) and $ m$ is the mode (e.g., the number of maxima traversing the drum by $ 2 \pi$ in a circular direction).

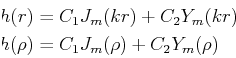
There two solutions to Bessel's equation and the general solution is the sum the two:

\begin{displaymath}\begin{split}h(r) &= C_1 J_m(k r) + C_2 Y_m(k r)\ h(\rho) &= C_1 J_m(\rho) + C_2 Y_m(\rho) \end{split}\end{displaymath} (26-2)

where $ J_m(x)$ is called (naturally enough) an order-$ m$ Bessel function of the first kind and $ Y_m(x)$ is called (naturally enough) an order-$ m$ Bessel function of the second kind. These are analogous to the sines and cosines, but for a different ODE.

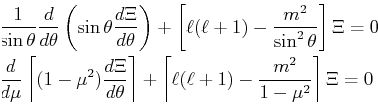
Another equation that appears in models of the angular deformations of body in a central force potentials (for example, the ion distribution about a fixed charge; or, the Schrödinger equation for the electron in a hydrogen atom) in spherical coordinates is Legendre's equation:

\begin{displaymath}\begin{split}& \frac{1}{\sin \theta} \ensuremath{\frac{d{}}{d...
...ll (\ell +1) - \frac{m^2}{1 - \mu^2} \right] \Xi =0 \end{split}\end{displaymath} (26-3)

where $ \mu \equiv \cos \theta$ so that $ -1 \leq \mu \leq 1$ . The value $ \ell$ is related to the number of modes in the $ \theta$ direction and $ m$ is related to the number of modes in the $ \phi$ direction.

Legendre's equation has two solutions:

$\displaystyle \Xi(\mu) = C_1 P_{lm}(\mu) + C_2 Q_{lm}(\mu)$ (26-4)

The eigensolution $ P_{lm}(\mu)$ is called (again, naturally enough) order $ m$ Legendre functions of the first kind and $ Q_{lm}(\mu)$ are called order $ lm$ Legendre functions of the second kind.

There are many other types of special functions.

MATHEMATICA$ ^{\text{\scriptsize {\textregistered }}}$ Example
(notebook Lecture-26.tex)
(html Lecture-26.tex)
(xml+mathml Lecture-26.tex)
Visualizing special functions.



Special Functions in the Eigenfunctions of the Hydrogen Atom

The Shrödinger for the electron in a hydrogen atom is a partial differential equation--one that involves derivatives with respect than more than one variable. In the case of the hydrogen atom, the variables are the spherical coordinates $ r, \theta$ and $ \phi$ .

A common method of solving a partial differential equation is to reduce it to a system of coupled ODEs by a method called separation of variables.

The solution for the wave-functions of an electron follows from separation of variables and special functions arise in the solution to the ordinary differential equations--including the Legendre functions $ P_{\ell m}$ (which are part of the spherical harmonics $ Y_{\ell m}(\theta,\phi)$ ) and Laguerre $ L_{n}$ functions. The subscripts are associated with the quantum numbers that give structure to the periodic table of elements.

MATHEMATICA$ ^{\text{\scriptsize {\textregistered }}}$ Example
(notebook Lecture-26)
(html Lecture-26)
(xml+mathml Lecture-26)
Visualizing the Hydrogen atom eigenfunctions




© W. Craig Carter 2003-, Massachusetts Institute of Technology