Link to Current (updated) notes

next previous Next: Index Up: Lecture_24_web Previous: Reduction of Higher Order ODEs to a System

Linearization of Systems of ODEs

The critical point plays a very important role in understanding the behavior of non-linear ODEs.

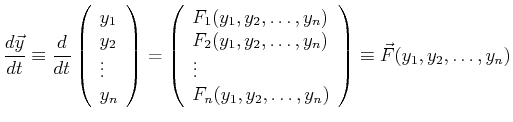
The general autonomous non-linear ODE can be written as:

$\displaystyle \ensuremath{\frac{d{\vec{y}}}{d{t}}} \equiv \ensuremath{\frac{d{}...
... y_2, \ldots, y_n)\ \end{array} \right) \equiv \vec{F} (y_1, y_2, \ldots, y_n)$ (24-12)

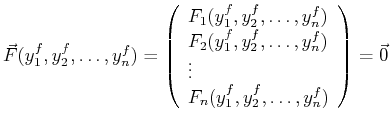
The fixed points are the solutions to:

$\displaystyle \vec{F} (y^f_1, y^f_2, \ldots, y^f_n)= \left( \begin{array}{l} F_...
..._n)\ \vdots\ F_n(y^f_1, y^f_2, \ldots, y^f_n)\ \end{array} \right) = \vec{0}$ (24-13)

If the fixed points can be found, then the behavior near the fixed points can be analyzed by linearization. Letting $ \vec{\delta} = \vec{y} - \vec{y}^f$ be a point near a fixed point, then a linear approximation is:

$\displaystyle \ensuremath{\frac{d{}}{d{t}}}\vec{\delta} = \mat {J} \delta$ (24-14)

where

$\displaystyle \mat {J} = \left( \begin{array}{llll} \ensuremath{\frac{\partial{...
...rtial{F_n}}{\partial{y_n}}}\left.\right\vert _{\vec{y}^f}\ \end{array} \right)$ (24-15)

Equation 24-14 looks very much like a simple linear first-order ODE. The expression

$\displaystyle \vec{y}(t) = e^{\mat {J} t} \vec{y}(t=0)$ (24-16)

might solve it if the proper analog to the exponential of a matrix were known.

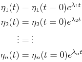
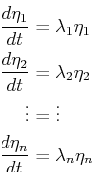
Rather than solve the matrix equation directly, it makes more sense to transform the system into one that is diagonalized. In other words, instead of solving Eq. 24-14 with Eq. 24-15 near the fixed point, find the eigenvalues, $ \lambda_i$ , of Eq. 24-15 and solve the simpler system by transforming the $ \vec{\delta}$ into the eigenframe $ \vec{\eta}$ :

\begin{displaymath}\begin{split}\ensuremath{\frac{d{\eta_1}}{d{t}}} & = \lambda_...
...remath{\frac{d{\eta_n}}{d{t}}} & = \lambda_n \eta_n \end{split}\end{displaymath} (24-17)

for which solutions can be written down immediately:

\begin{displaymath}\begin{split}{\eta_1}(t) & = \eta_1(t=0) e^{\lambda_1 t}\ {\...
...ots\ {\eta_n}(t) & = \eta_n(t=0) e^{\lambda_n t}\ \end{split}\end{displaymath} (24-18)

If any of the eigenvalues of $ \mat {J}$ are positive, then an initial condition near that fixed point will diverge from that point--stability occurs only if all the eigenvalues are negative.

MATHEMATICA$ ^{\text{\scriptsize {\textregistered }}}$ Example
(notebook Lecture-24)
(html Lecture-24)
(xml+mathml Lecture-24)
Analyzing Stability for the Predator-Prey Problem




© W. Craig Carter 2003-, Massachusetts Institute of Technology