Link to Current (updated) notes

next previous Next: Reduction of Higher Order ODEs to a System Up: Lecture_24_web Previous: Lecture_24_web

Systems of Ordinary Differential Equations

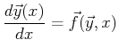
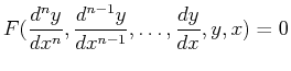
The ordinary differential equations that have been treated thus far are relations between a single function and how it changes:

$\displaystyle F(\ensuremath{\frac{d^{n}{y}}{d{x}^{n}}}, \ensuremath{\frac{d^{n-1}{y}}{d{x}^{n-1}}}, \ldots , \ensuremath{\frac{d{y}}{d{x}}}, y, x) = 0$ (24-1)

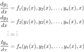
Many physical models of systems result in differential relations between several functions. For example, a first-order system of ordinary differential equations for the functions $ (y_1(x), y_2(x), \ldots, y_n(x))$ is:

\begin{displaymath}\begin{split}\ensuremath{\frac{d{y_1}}{d{x}}} & = f_1(y_1(x),...
...d{x}}} & = f_n(y_1(x), y_2(x), \ldots, y_n(x), x)\ \end{split}\end{displaymath} (24-2)

or with a vector notation,

$\displaystyle \ensuremath{\frac{d{\vec{y}(x)}}{d{x}}} = \vec{f}(\vec{y},x)$ (24-3)

The predator-prey model serves as the classical example of a system of differential equations.

MATHEMATICA$ ^{\text{\scriptsize {\textregistered }}}$ Example
(notebook Lecture-24)
(html Lecture-24)
(xml+mathml Lecture-24)
An iterative example of a predator-prey problem with a slight twist.

Suppose there is a fairly bad joke that circulates around the student population. Students either know the joke or they don't. Of course, freshman enter a constant rate $ \alpha$ /year and would have no idea about the joke. If two people meet there are three cases:

Both Clueless
Neither of the students know the joke and so the joke does not spread.
Both Jaded
Both know the joke and if one begins to tell it, the other interrupts with, ``Yeah, Yeah. I heard that one. It's pretty, like, stupid.'' The joke doesn't spread.
Knows it/Never heard it
The student who knows remembers that he or she has a stupid joke to tell, but only thinks to spread the joke with probability $ \rho$ /(random student meeting year).
Students have a lot of things on their mind (some of which is education) and so they tend to be forgetful. Students who know the joke tend to forget at rate $ \phi$ /year.
It is closely held secret that Susan Hockfield, MIT's president, has an odd sense of humor. At each commencement ceremony, as the proud candidates for graduation approach the president to collect their hard-earned diploma, President Hockfield whispers to the student, ``Have you the joke about?'' If the student says, ``Yes. I have heard that joke. It is
very funny!!!'' then the diploma is awarded. However, if the student says, ``No. But, I am dying to hear it!!!'', the president's face drops into a sad frown and the student is asked to leave without collecting the diploma.1
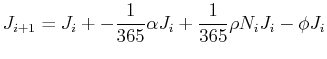
Therefore, an iterative model for the student population that knows the joke is:

   Naive Fraction$\displaystyle ($Tomorrow$\displaystyle ) =$   Naive Fraction$\displaystyle ($Today$\displaystyle ) +$   Change in Naive Fraction

   Jaded Fraction$\displaystyle ($Tomorrow$\displaystyle ) =$   Jaded Fraction$\displaystyle ($Today$\displaystyle ) +$   Change in Jaded Fraction

$\displaystyle N_{i+1} = N_i + \frac{1}{365} \alpha - \frac{1}{365} \rho N_i J_i
$

$\displaystyle J_{i+1} = J_i + -\frac{1}{365} \alpha J_i + \frac{1}{365} \rho N_i J_i - \phi J_i
$

  1. Write functions that increment the populations each day as functions of $ \alpha$ , $ \rho$ , and $ \phi$ .
  2. Use NestList to create lists of population pairs.
  3. Visualize the population evolution for a variety of initial conditions.

The MATHEMATICA$ ^{\text{\scriptsize {\textregistered }}}$ example could be modeled with the set of differential equations:

\begin{displaymath}\begin{split}\ensuremath{\frac{d{N}}{d{t}}} = & \alpha - \rho...
...ac{d{J}}{d{t}}} = & -\alpha J + \rho N J - \phi J\ \end{split}\end{displaymath} (24-4)

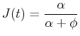
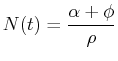
A critical point is one at which the left-hand side of Equations 24-2, 24-3, or 24-4 vanish--in other words, a critical point is a special value of the vector $ \vec{y}(x)$ where the system of equations does not evolve. For the system defined by Eq. 24-4, there is one critical point:

$\displaystyle N(t) = \frac{\alpha + \phi}{\rho}$    and  $\displaystyle J(t) = \frac{\alpha}{\alpha + \phi}$ (24-5)

However, while a system that is sitting exactly at a critical point will not evolve, not every critical point is stable like the one in the MATHEMATICA$ ^{\text{\scriptsize {\textregistered }}}$ example. There are three broad categories of critical points:2
Stable
Any slight perturbation of the system away from the critical point results in an evolution back to that critical point. In other words, all points in the neighborhood of a stable critical point have a trajectory that is attracted back to that point.
Unstable
Some slight perturbation of the system away from the critical point results in an evolution away from that critical point. In other words, some points in the neighborhood of an unstable critical point have trajectories that are repelled by the point.
Circles
Any slight perturbation away from a critical point results in an evolution that always remains near the critical point. In other words, all points in the neighborhood of a circle critical point have trajectories that remain in the neighborhood of the point.



© W. Craig Carter 2003-, Massachusetts Institute of Technology