Link to Current (updated) notes

next previous Next: Geometrical Interpretation of Solutions Up: Lecture_19_web Previous: Lecture_19_web

Differential Equations: Introduction

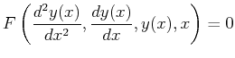
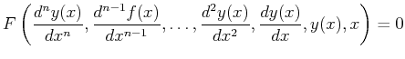
Ordinary differential equations are relations between a function of a single variable, its derivatives, and the variable:

$\displaystyle F\left(\ensuremath{\frac{d^{n}{y(x)}}{d{x}^{n}}}, \ensuremath{\fr...
...\frac{d^2{y(x)}}{d{x}^2}},\ensuremath{\frac{d{y(x)}}{d{x}}}, y(x), x\right) = 0$ (19-1)

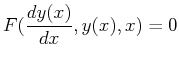
A first-order Ordinary Differential Equation (ODE) has only first derivatives of a function.

$\displaystyle F(\ensuremath{\frac{d{y(x)}}{d{x}}}, y(x), x) = 0$ (19-2)

A second-order ODE has second and possibly first derivatives.

$\displaystyle F\left(\ensuremath{\frac{d^2{y(x)}}{d{x}^2}},\ensuremath{\frac{d{y(x)}}{d{x}}}, y(x), x\right) = 0$ (19-3)

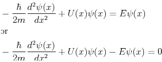
For example, the one-dimensional time-independent Shrödinger equation,

\begin{displaymath}
\begin{split}
& -\frac{\hbar}{2m} \frac{d^2 \psi(x)}{dx^2} ...
...^2 \psi(x)}{dx^2} + U(x) \psi(x) - E \psi(x) = 0\\
\end{split}\end{displaymath}

is a second-order ordinary differential equation that specifies a relation between the wave function, $ \psi(x)$ , its derivatives, and a spatially dependent function $ U(x)$ .

Differential equations result from physical models of anything that varies--whether in space, in time, in value, in cost, in color, etc. For example, differential equations exist for modeling quantities such as: volume, pressure, temperature, density, composition, charge density, magnetization, fracture strength, dislocation density, chemical potential, ionic concentration, refractive index, entropy, stress, etc. That is, almost all models for physical quantities are formulated with a differential equation.

The following example illustrates how some first-order equations arise:

MATHEMATICA$ ^{\text{\scriptsize {\textregistered }}}$ Example
(notebook Lecture-19)
(html Lecture-19)
(xml+mathml Lecture-19)
Iteration: First-Order Sequences

Consider a function that changes according to its current size-that is, at a subsequent iteration, the function grows or shrinks according to how large it is currently.

$\displaystyle F_{i+1} = F_{i} + \alpha F_{i}
$

which is equivalent to

$\displaystyle F_{i} = F_{i-1} + \alpha F_{i-1}
$


MATHEMATICA$ ^{\text{\scriptsize {\textregistered }}}$ Example
(notebook Lecture-19)
(html Lecture-19)
(xml+mathml Lecture-19)
First-Order Finite Differences

The example above is not terribly useful because the change at each increment is an integer and the function only has values for integers. To generalize, a forward difference can be added that allows the variable of the function to ``go forward'' at an arbitrarily small increment, $ \delta$ .

If the rate of change of $ y$ , is a function $ f(y)$ of the current value, then,

$\displaystyle y_{i+1} = y_i + \delta f(y_i)
$

or

$\displaystyle y(x=(i+1)\delta)) = y(x=i \delta) + \delta f(y(x=i \delta))
$

where $ x$ plays the role of an `indexed grid' with small separations $ \delta$ .

MATHEMATICA$ ^{\text{\scriptsize {\textregistered }}}$ Example
(notebook Lecture-19)
(html Lecture-19)
(xml+mathml Lecture-19)
First-Order Operators

The forward-difference equation considered above relates the next iteration, $ y_{i+1}$ to the current value $ y_i$ . Only $ y_i$ appear on the right-hand-side of the equation--the right-hand-side can be thought of an ``Operation'' on $ y$ that pushes it to the next iteration, i.e.,

$\displaystyle y_{i+1} = \mathcal{F}(y_i)
$

In this way, the $ n^{th}$ iteration is determined from the initial value with

$\displaystyle y_n = {\mathcal{F}}^n(y_0)
$




© W. Craig Carter 2003-, Massachusetts Institute of Technology