Link to Current (updated) notes

next previous Next: Linear Transformations Up: Lecture_07_web Previous: Determinants

Vector Spaces


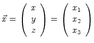
Consider the position vector

$\displaystyle \vec{x} = \left( \begin{array}{c} x\ y\ z \end{array} \right) = \left( \begin{array}{c} x_1\ x_2\ x_3 \end{array} \right)$ (07-12)

The vectors $ (1,0,0)$ , $ (0,1,0)$ , and $ (0,0,1)$ can be used to generate any general position by suitable scalar multiplication and vector addition:

$\displaystyle \vec{x} = \left( \begin{array}{c} x\ y\ z \end{array} \right) =...
... 0 \end{array} \right) + z\left( \begin{array}{c} 0\ 0\ 1 \end{array} \right)$ (07-13)

Thus, three dimensional real space is ``spanned'' by the three vectors: $ (1,0,0)$ , $ (0,1,0)$ , and $ (0,0,1)$ . These three vectors are candidates as ``basis vectors for $ \Re^3$ .''

Consider the vectors $ (a,-a,0)$ , $ (a,a,0)$ , and $ (0,a,a)$ for real $ a \neq 0$ .

$\displaystyle \vec{x} = \left( \begin{array}{c} x\ y\ z \end{array} \right) =...
...t) + \frac{x - y + 2z}{2a}\left( \begin{array}{c} 0\ a\ a \end{array} \right)$ (07-14)

So $ (a,-a,0)$ , $ (a,a,0)$ , and $ (0,a,a)$ for real $ a \neq 0$ also are basis vectors and can be used to span $ \Re^3$ .


The idea of basis vectors and vector spaces comes up frequently in the mathematics of materials science. They can represent abstract concepts as well as shown by the following two dimensional basis set:

basis-cells.png
Figure 7-1: A vector space for two-dimensional CsCl structures. Any combination of center-site concentration and corner-site concentration can be represented by the sum of two basis vectors (or basis lattice). The set of all grey-grey patterns is a vector space of patterns.
\resizebox{6in}{!}
{\includegraphics{figures/newbar.eps}}



© W. Craig Carter 2003-, Massachusetts Institute of Technology