next previous
OVERVIEW

This laboratory provides an exercise in the solution to an ODE by a numerical method.



TASKS

One-Dimensional Steady-State Diffusion with Non-Uniform Diffusivity

It is known that diffusivity tends to increase with temperature. Suppose there is a rod of material that has its middle region warmed so that the diffusivity of interstitial solutes is higher in the middle than at its ends. In this case, the diffusivity is a function of position $ D(x)$ .

If the concentrations of solutes at both ends of the bar are fixed, then a concentration profile will develop. After an initial transient period, the profile will approach a steady-state profile that does not depend on time ( $ \partial c/\partial = 0$ ) but will depend on the diffusivity profile $ D(x)$ .

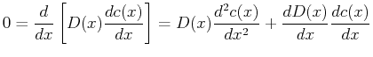
The steady-state diffusion equation is the time-indpendent solution to the diffusion equation, or

$\displaystyle 0 = \frac{d}{dx} \left[ D(x) \frac{d c(x)}{dx} \right] =
D(x) \frac{d^2 c(x)}{dx^2} + \frac{d D(x)}{dx} \frac{d c(x)}{dx}
$

where the last equality follows from the chain rule.

Suppose the bar is 2cm long and the concentrations at the ends are fixed:

$\displaystyle c(x=-1$cm$\displaystyle ) = 0$    and  $\displaystyle c(x=1$cm$\displaystyle ) = 1
$

and the diffusivity is given by the function

$\displaystyle D(x) = 1 + 10 e^{-2x^2}
$

  1. Show that Mathematica cannot solve the ODE directly.
  2. Find a numerical solution with NDSolve
  3. Plot the solution

Extra Credit

  1. Replace the diffusivity with its average value, find the exact solution and plot it with your numerical solution.
  2. Approximate the diffusivity with a power series in $ x$ . Compare your approximation to the exact diffusivity.
  3. Compare the steady-state solution with an approximated diffusivity to your numerical solution.



REPORT

This homework will be graded. Your report on the work above should be ordered as it is above. Your report should include comments that would help one of your classmates understand what your work demonstrates. Send your report as a saved Mathematica notebook with name 3016_Lastname_Lab08.nb to 3.016@pruffle.mit.edu.


© W. Craig Carter 2003-, Massachusetts Institute of Technology