next previous

MASSACHUSETTS INSTITUTE OF TECHNOLOGY


Mathematical Methods


for Materials Scientists and Engineers





3.016 Fall 2005


W. Craig Carter
Department of Materials Science and Engineering
Massachusetts Institute of Technology
77 Massachusetts Ave.
Cambridge, MA 02139
Problem Set 6: Due Wed. Dec. 7, Before 5PM: email to smallen@.mit.edu

The following are this week's randomly assigned homework groups. The first member of the group is the ``Homework Jefe'' who will be in charge of setting up work meetings and have responsibility for turning in the group's homework notebook. If some some reason, the first member in the list is incapacitated, recalcitrant, or otherwise unavailable, then the second member should take that position. Attention slackers: The Jefe should include a line at the top of your notebook listing the group members that participated in the notebook's production. Group names are boldfaced text.





Brubu: Katherine Hartman (khartman), John Pavlish (jpavlish), Bryan Gortikov (bryho), Michele Dufalla (mdufalla),Richard Ramsaran (rickyr21), Eugene Settoon (geneset)


Chubasco: Emily Gullotti (emgull), Kyle,Yazzie (keyazzie), Jill Rowehl (jillar), Allison Kunz (akunz), Saahil Mehra,(s_mehra), Jason Pelligrino (jpell19)


Cordonazo: Kelsey Vandermeulen (kvander),Annika Larsson (alarsson), Omar Fabian (ofabian), Vladimir Tarasov (vtarasov), John Rogosic (jrogosic), Leanne Veldhuis (lveldhui)


Haboob: Jina Kim,(jinakim), Maricel Delgadillo (maricela), Katrine Sivertsen (katsiv), Rene,Chen (rrchen), Lauren Oldja (oldja)


Williwaw: Kimberly Kam (kimkam), Charles Cantrell (cantrell), Talia Gershon (tgershon), Lisa Witmer (witmer), JinSuk Kim (jkim123)





Individual Exercise I6-1

Kreyszig MATHEMATICA$ ^{\mbox{\scriptsize {\textregistered }}}$ Computer Guide: problem 2.6, page 29




Individual Exercise I6-2

Kreyszig MATHEMATICA$ ^{\mbox{\scriptsize {\textregistered }}}$ Computer Guide: problem 2.14, page 29




Individual Exercise I6-3

Kreyszig MATHEMATICA$ ^{\mbox{\scriptsize {\textregistered }}}$ Computer Guide: problem 3.2, page 40




Individual Exercise I6-4

Kreyszig MATHEMATICA$ ^{\mbox{\scriptsize {\textregistered }}}$ Computer Guide: problem 3.6, page 40




Individual Exercise I6-5

Kreyszig MATHEMATICA$ ^{\mbox{\scriptsize {\textregistered }}}$ Computer Guide: problem 4.20, page 54




Individual Exercise I6-6

Kreyszig MATHEMATICA$ ^{\mbox{\scriptsize {\textregistered }}}$ Computer Guide: problem 11.4, page 131




Individual Exercise I6-7

Kreyszig MATHEMATICA$ ^{\mbox{\scriptsize {\textregistered }}}$ Computer Guide: problem 11.8, page 131




Individual Exercise I6-8

Kreyszig MATHEMATICA$ ^{\mbox{\scriptsize {\textregistered }}}$ Computer Guide: problem 11.12, page 132




Group Exercise G6-1

About how fast can you ride a bike on a level path? About how fast can you ride a bike on a grade that increases 1 meter every 5 meters? About how fast can you ride a bike on a grade that decreases 1 meter every 5 meters? What is the maximum grade up which you could continuously ride a bicycle?

  1. Write out a model that predicts a bicyclist's speed as a function of the grade, $ S(m)$ , and plot speed versus grade.

  2. The speed is the magnitude of the velocity vector $ \vec{v}(m)$ . Plot the vertical component of velocity $ \vec{v} \cdot \hat{k}$ against the horizontal component of velocity, $ \sqrt{(\vec{v}\cdot\hat{i})^2 + (\vec{v}\cdot\hat{j})^2}$ , for several different values of grade $ m$ .

  3. Discuss whether your model from part 1 and 2 is a reasonable model for a continuously changing grade. For example, you may wish to consider whether your model for $ S(m)$ would predict the total distance traveled from $ t=0$ to $ t=t_0$ as

       distance$\displaystyle ( \vec{p}(s) ) = \int_0^{t_0} S(m) dt
$

    Or, if your model is inserted into the following equation

       average speed$\displaystyle ( \vec{p}(s) ) = \frac{\int_0^{t_0} S(m) dt}{t_0}
$

    would it produce a good estimate for actual average speed? $ \vec{p}(s)$ is a curve representing a path that a bicycle follows.

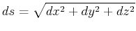
  4. Use your model to find the average speed on a path given by $ \vec{p}(u) = (u, 0, A \cos( k u))$ . Note that the arclength element $ ds = \sqrt{dx^2 + dy^2 + dz^2}$ ; you may need to do numerical evaluations of elliptic integrals.

    Graphically represent average speed, as modeled by the equation above, as a function of the parameters $ A$ and $ k$ .




Group Exercise G6-2

THE FIRST PART OF THIS PROBLEM WAS BORROWED FROM MARC SPIGELMAN,
HTTP://WWW.LDEO.COLUMBIA.EDU/
~MSPIEG/COMPLEXITY/PROBLEMS/ WHO BORROWED IT FROM . H. STROGATZ. NONLINEAR DYNAMICS AND CHAOS: WITH APPLICATIONS TO PHYSICS, BIOLOGY, CHEMISTRY, AND ENGINEERING, ADDISON-WESLEY PUBLISHING CO., READING, MA, 1994.

In this problem, analyze the complex relationship dynamics of young lovers.

In this first case, it's the ``it isn't me--it's you'' syndrome.

Romeo tends to love Juliet, but suppose Juliet is a fickle lover: the more Romeo loves her, the more Juliet wants to find someone else who will treat her poorly. However, when Romeo gets discouraged and begins to ignore Juliet when she seems uninterested, Juliet begins to find him strangely attractive. Romeo, on the other hand, is encouraged when encouragement encourages: he warms up when she loves him and grows cold when she doesn't. Suppose $ R(t)$ is a measure of Romeo's love of Juliet, when its positive he loves her and when it is negative he hates her. Similarly, $ J(t)$ is Juliet's love or hate for Romeo at time $ t$ .

  1. Our model based on the above scenario is

    \begin{displaymath}
\begin{split}
\frac{dR}{dt} = J\\
\frac{dJ}{dt} = -R
\end{split}\end{displaymath}

    Analyze and illustrate their love affair.
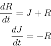
  2. Suppose that, for Romeo, it ``isn't just you--but it's also me.'' Then a reasonable model is:

    \begin{displaymath}
\begin{split}
\frac{dR}{dt} = J + R\\
\frac{dJ}{dt} = -R
\end{split}\end{displaymath}

    Analyze and illustrate their love affair.
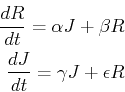
  3. Consider general linear romantic behavior (GLRB).

    \begin{displaymath}
\begin{split}
\frac{dR}{dt} = \alpha J + \beta R\\
\frac{dJ}{dt} = \gamma J + \epsilon R
\end{split}\end{displaymath}

    Characterize, with as creative prose as you can muster (warning, these may be published), the characteristics of the lovers and their relationship for (real) values of the GLRB parameters $ \alpha$ , $ \beta$ , $ \gamma$ , and $ \epsilon$ .
  4. Suppose, that Juliet thinks, ``If Romeo's love for me is only imaginary, then I would hate him; but, if his love is real, I would love him.'' But, Romeo thinks, ``In my imagination, when I think of Juliet, my real love for her grows; but, the more I really love Juliet, the more my imagination falters.'' Now Romeo's love has two components, real and imaginary. Let $ R^{\Re}$ be Romeo's real love for Juliet and $ R^{\Im}$ be his imaginary part. Write a model for this relationship and analyze it. Witty descriptions will be welcomed.



© W. Craig Carter 2003-, Massachusetts Institute of Technology