next previous

MASSACHUSETTS INSTITUTE OF TECHNOLOGY


Mathematical Methods


for Materials Scientists and Engineers





3.016 Fall 2005


W. Craig Carter
Department of Materials Science and Engineering
Massachusetts Institute of Technology
77 Massachusetts Ave.
Cambridge, MA 02139
Problem Set 3: Due Thu. Oct. 12, Before 5PM: email to smallen@.mit.edu

The following are this week's randomly assigned homework groups. The first member of the group is the ``Homework Jefe'' who will be in charge of setting up work meetings and have responsibility for turning in the group's homework notebook. If some some reason, the first member in the list is incapacited, recalcitrant, or otherwise unavailable, then the second member should take that position. Attention slackers: The Jefe should include a line at the top of your notebook listing the group members that participated in the notebook's production. Group names are boldfaced text.
Austen: Maricela Delgadillo (maricela), John Pavlish (jpavlish), Kimberly Kam (kimkam), Grant Hofmeister (ghofmeis), Jina Kim (jinakim)


Bronte: Vladimir Tarasov (vtarasov), Omar Fabian (ofabian), Allison Kunz (akunz), Katrine Sivertsen (katsiv), Rene Chen (rrchen), Kelse Vandermeulen (kvander)


Eliot: Lauren Oldja (oldja), Samuel Seong (sseong), Michele Dufalla (mdufalla), Chad Iverson (civerson), Kyle Yazzie (keyazzie), John Rogosic (jrogosic)


Lively: Emily Gullotti (emgull), Charles Cantrell (cantrell), Richard Ramsaran (rickyr21), Leanne Veldhuis (lveldhui), Annika Larsson (alarsson), Eugene Settoon (geneset)


Potter: Bryan Gortikov (bryho), Sophia Harrison (sophiah), Lisa Witmer (witmer), EunRae Oh (eunraeoh), Saahil Mehra (s_mehra)


Woolf: Jill Rowehl (jillar), Jonathon Tejada (tejada), JinSuk Kim (jkim123), Katherine Hartman (khartman), Talia Gershon (tgershon)






Individual Exercise I3-1

Kreyszig MATHEMATICA$ ^{\mbox{\scriptsize {\textregistered }}}$ Computer Guide: problem 6.4, page 77




Individual Exercise I3-2

Kreyszig MATHEMATICA$ ^{\mbox{\scriptsize {\textregistered }}}$ Computer Guide: problem 7.10, page 87




Individual Exercise I3-3

Kreyszig MATHEMATICA$ ^{\mbox{\scriptsize {\textregistered }}}$ Computer Guide: problem 7.12, page 87




Group Exercise G3-1

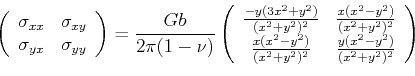
An edge dislocation generates a stress field around it. A straight edge dislocation lying along the $ z$ -axis will not generate forces in the $ z$ -direction and therefore its stress state can be represented in two dimensions.

For an infinitely long edge dislocation with its extra lattice plane inserted the $ y>0$ --$ z$ half-plane, the stress state is given by

\begin{displaymath}
\left(
\begin{array}{cc}
\sigma_{xx} & \sigma_{xy}\\
\sigma...
...^2)^2}
&
\frac{y(x^2 - y^2)}{(x^2 + y^2)^2}
\end{array}\right)
\end{displaymath}

where $ b$ is the Burgers vector magnitude, and $ G$ and $ \nu$ are the the shear modulus and Poisson's ratio for an isotropic elastic material.

  1. Convert these stresses to a representation in terms of polar coordinates $ r,\theta$ .
  2. Calculate the hydrostatic pressure due to an edge as a function of position in the $ x,y$ -plane. Plot some of the isobars (contours of constant pressure).
  3. Calculate the rotation of the principal axis as a function of position and plot it.
  4. The maximum shear stress is the $ \sigma_{xy}$ component rotated by $ \pi/4$ from the principal axis system--and the Mohr's circle construction provides a simple way to calculate the maximum shear stress in terms of the eigenvalues. Plot the maximum shear stress as a function of position.

Hint: The principal coordinate system is a special coordinate system where the stress matrix is a diagonal matrix. It is related by a rotation from the laboratory coordinate system in which the problem is posed. The trace of a matrix does not change when the coordinate system is rotated.




Group Exercise G3-2

The purpose of this problem is to calculate the entropy of a very small simple system exactly. By solving this problem, I hope you will understand Boltzmann's formula for entropy $ S(E) = k \log \Omega(E)$ a little better and also understand why approximations are needed to calculate entropy in larger or more complex systems. In Boltzmann's formula, $ S$ is the entropy of the total system; $ E$ is the energy of the total system; $ k$ is Boltzmann's constant; $ \Omega(E)$ is the number of states of the system that have energy $ E$ .

Consider a system of three isolated hydrogen atoms.

Let the ``zero of energy'' be the ground state of the hydrogen atom, so that the energy of a single hydrogen atom with its electron in state $ n$ is:

$\displaystyle E(n) = E_o ( 1 - \frac{1}{n^2})
$

As you know, counting the quantum numbers for each energy state (electron spin $ s$ , angular momentum $ l$ , etc.), there are two states for $ n=1$ ; eight states for $ n=2$ ; and 18 states for $ n=3$ , etc.

So that the problem can be done with a reasonably small amount of RAM, suppose that all three electrons are either in $ n=1$ or $ n=2$ and no other states.

  1. Calculate and illustrate the total entropy of this simple system of three non-interacting hydrogen atoms;
  2. Calculate $ S$ in multiples of $ k$ (e.g., plot $ S(E)/k$ vs. $ E$ ).

  3. Can you calculate $ S(E)$ for a system of three atoms if the quantum states are restricted to $ n=1,2,3$ ? Five atoms?

  4. Extra Credit: The assumption of a limited number of high-energy orbitals results in an an unphysical result. Can you identify what is unphysical about your results?

Hint: $ dU = T dS - PdV$ for this simple system and the volume can be fixed.

Hint: One strategy is to enumerate all of the possible energies you can obtain by adding the all the energies from two systems $ E_A$ and $ E_B$ ; call this $ E_{AB}$ . For each energy in $ E_{AB}$ , count number of different ways each energy can be added up. Once you have established an algorithm for adding two systems, you can add any number of systems by adding one at a time; i.e., combine $ E_{AB}$ and $ E_C$ to get $ E_{ABC}$ .




Group Exercise G3-3

Recall from 3.012 that the time-independent Schrödinger equation is

$\displaystyle \hat{H} \phi = E_\phi \phi
$

where $ \hat{H}$ is the Hamiltonian operator on the wavefunction $ \phi$ and $ E_\phi$ is the (scalar) eigenvalue for the particular wavefunction $ \phi$ . This is also an eigenvalue equation which is similar to the matrix-eigenvector-eigenvalue systems we have been discussing, except that $ \hat{H}$ operates on a function and $ \phi$ is an eigenfunction.

For a one-dimensional problem, the eigenvalues can be calculated from

$\displaystyle E_\phi = \frac{ \int \bar{\phi}(x) \hat{H} \phi(x) dx }
{ \int \bar{\phi}(x) \phi(x) dx }
$

Suppose that we do not know the eigenfunctions $ \phi_0(x), \phi_1(x), \ldots, \phi_n(x)$ , we may still wish to find an approximate way to calculate the observable energies, $ E_1, E_2, \ldots, E_N$ .

One method is to approximate the $ \phi$ with a series of functions that match the boundary conditions. For an electron in a one-dimensional box of length $ L$ , we could approximate $ \phi$ with

\begin{displaymath}
\begin{split}
\phi & = c_1 x (L - x) + c_2 \left[ x (L -x) \...
...left[ x(L-x) \right]^M\\
& = \sum_{i=1}^M c_i f_i
\end{split}\end{displaymath}

where $ f_i \equiv x^i(L-x)^i$ .

Therefore, we could consider the energy to be a function of the approximating parameters:

\begin{displaymath}
\begin{split}
E(c_1, c_2, \ldots, c_M) & =
\frac{ \int_0^L ...
...H_{ij}}
{\sum_{i=1}^M \sum_{j=1}^M c_i c_j F_{ij}}
\end{split}\end{displaymath}

where $ H_{ij} \equiv \int f_i \hat{H} f_j dx$ and $ F_{ij} \equiv \int f_i f_j dx$ .

For the following, use the free-electron Hamiltonian operator.

  1. Show that $ H_{ij} = H_{ji}$ (which is a property of a Hermitian operator $ \hat{H}$ ).

  2. Find the lowest energy--which will be the ground-state approximation--by using $ M=2$ and minimizing $ E(c_1, c_2)$ with respect to $ c_1$ and $ c_2$ . Compare your results with the exact ground-state energy $ E_0$ .

  3. Show that your results above can be written as the determinant:

    \begin{displaymath}
\det
\left(
\begin{array}{cc}
H_{11} - E F_{11} & H_{12} - E...
...\
H_{12} - E F_{12} & H_{22} - E F_{22}
\end{array}\right)
=0
\end{displaymath}

  4. How does the larger root of the above equation compare with the energy $ E_1$ for an electron in a box?

  5. Generalize your result to calculate the ground-state energy using approximation of arbitrary accuracy $ M$ . Calculate and plot the ground-state approximation as a function of $ M$ .

Hint: Write functions that takes two functions as arguments and return a number.



© W. Craig Carter 2003-, Massachusetts Institute of Technology