next previous

MASSACHUSETTS INSTITUTE OF TECHNOLOGY


Mathematical Methods


for Materials Scientists and Engineers





3.016 Fall 2005


W. Craig Carter
Department of Materials Science and Engineering
Massachusetts Institute of Technology
77 Massachusetts Ave.
Cambridge, MA 02139
Problem Set 2: Due Friday Sept. 23, Before 5PM: email to smallen@.mit.edu

The following are this week's randomly assigned homework groups. The first member of the group is the ``Homework Honcho (or Honcha)'' who will be in charge of setting up work meetings and have responsibility for turning in the group's homework notebook. Group names are boldfaced text.
Alegrias: Richard Ramsaran (rickyr21), Chad Iverson (civerson), JinSuk Kim (jkim123), Bryan Gortikov (bryho), Rene Chen (rrchen), Katherine Hartman (khartman)


Macumbo: Leanne Veldhuis (lveldhui), Emily Gullotti (emgull), Allison Kunz (akunz), Kyle Yazzie (keyazzie), Lauren Oldja (oldja), Charles Cantrell (cantrell)


Merengue: Samuel Seong (sseong), Annika Larsson (alarsson), Lisa Witmer (witmer), Sophia Harrison (sophiah), Kelse Vandermeulen (kvander), Kimberly Kam (kimkam)


Quadrille: Jill Rowehl (jillar), Grant Hofmeister (ghofmeis), Eugene Settoon (geneset), Talia Gershon (tgershon), Omar Fabian (ofabian), EunRae Oh (eunraeoh), Jason S Pellegrino (jpell19)


Samba: Michele Dufalla (mdufalla), Jina Kim (jinakim), John Pavlish (jpavlish), Maricel Delgadillo (maricela), Vladimir Tarasov ( vtarasov), Saahil Mehra (s_mehra), Katrine Sivertsen (katsiv)





Individual Exercise I2-1

Kreyszig MATHEMATICA$ ^{\mbox{\scriptsize {\textregistered }}}$ Computer Guide: problem 6.2, page 77




Individual Exercise I2-2

Kreyszig MATHEMATICA$ ^{\mbox{\scriptsize {\textregistered }}}$ Computer Guide: problem 6.10, page 77




Individual Exercise I2-3

Kreyszig MATHEMATICA$ ^{\mbox{\scriptsize {\textregistered }}}$ Computer Guide: problem 6.12, page 78




Group Exercise G2-1

A crack in a thin elastic material gives a stress concentration when the material is loaded in ``mode I'' as illustrated:

3in!figures/mode1-crack
Illustration of crack in thin sheet being loaded in mode I.

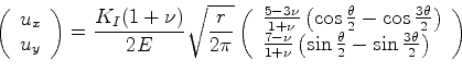
The displacements in the $ x$ - and the $ y$ - direction of each point in the material located at a distance $ r$ from the crack tip and at an angle $ \theta$ as illustrated are given by:

\begin{displaymath}
\left(
\begin{array}{l}
u_x\\
u_y
\end{array}\right)
= \fra...
...heta}{2} - \sin\frac{3 \theta}{2}\right)\\
\end{array}\right)
\end{displaymath}

where $ K_I = \sigma_{yy}^{\infty} \sqrt{\pi a}$ is called the ``stress intensity factor'' and $ E$ is the ``Young's elastic modulus.'' Assume that the Poisson's ratio, $ \nu$ , is 1/4.



1. Assuming that the crack is very sharp (i.e., very thin), plot the shapes of the crack if the material is loaded to $ \sigma_{yy}^{\infty} = $ 0.1, 0.25, and 0.5 $ E$ .

The strains in a material indicate how far two points have separated depending on the original separation between the points. The units of strain are ($ \Delta$ length)/(length); in other words, dimensionless. Because there are two coordinates, $ x$ and $ y$ , there are different kinds of strain:

$ \epsilon_{xx}$
The $ xx$ strain indicates the rate of separation in the $ x$ -direction with original separation in the $ x$ -direction: this is the ``$ x$ -stretch.''
$ \epsilon_{yy}$
The $ yy$ strain indicates the rate of separation in the $ y$ -direction with original separation in the $ y$ -direction: this is the ``$ y$ -stretch.''
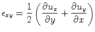
$ \epsilon_{xy}$
The $ xy$ strain indicates the rate of separation in the $ x$ -direction with original separation in the $ y$ -direction: this is the ``shear.''
$ \epsilon_{yx}$
The $ yx$ strain indicates the rate of separation in the $ y$ -direction with original separation in the $ x$ -direction: this is the same as $ \epsilon_{xy}$ .

The strains are calculated from the displacements as follows:

$\displaystyle \epsilon_{\eta \zeta} = \frac{1}{2} \left( \ensuremath{\frac{\par...
...ial{\zeta}}} + \ensuremath{\frac{\partial{u_{\zeta}}}{\partial{\eta}}} \right)
$

e.g.,

$\displaystyle \epsilon_{xy} = \frac{1}{2} \left( \ensuremath{\frac{\partial{u_x}}{\partial{y}}} + \ensuremath{\frac{\partial{u_y}}{\partial{x}}} \right)
$



2. Find an expression for the strains for the mode-I problem.

The stresses in a material indicate how much force is applied across a plane, per unit area of plane. Stresses have the same units as pressure and as Young's modulus $ E$ . Because forces can point in two independent directions and the planes can be oriented in two independent directions, there are different kinds of stress:

$ \sigma_{xx}$
The $ xx$ stress is the force in the $ x$ -direction per unit area of a plane with normal in the $ x$ -direction: this is the ``$ x$ tensile stress''
$ \sigma_{yy}$
The $ yy$ stress is the force in the $ y$ -direction per unit area of a plane with normal in the $ y$ -direction: this is the ``$ y$ tensile stress''
$ \sigma_{xy}$
The $ xy$ stress is the force in the $ x$ -direction per unit area of a plane with normal in the $ y$ -direction: this is the ``shearing stress''
$ \sigma_{yx}$
The $ yx$ stress is the force in the $ y$ -direction per unit area of a plane with normal in the $ x$ -direction: this is the same as $ \sigma_{xy}$ if the material is in elastic equilibrium.

In an isotropic linear elastic material in a state of plane stress, the strains are linearly related to the stresses through the compliance matrix:

\begin{displaymath}
\left(
\begin{array}{l}
\epsilon_{xx}\\
\epsilon_{yy}\\
\e...
...}
\sigma_{xx}\\
\sigma_{yy}\\
\sigma_{xy}
\end{array}\right)
\end{displaymath}



3. Find the corresponding compliance matrix that linearly relates the stresses to the strains.

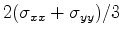
For plane stress, the hydrostatic pressure is given by $ 2(\sigma_{xx} + \sigma_{yy})/3$ .



4. Plot contours of constant hydrostatic pressure.



5. Plot contours of constant magnitude of shear stress.




Group Exercise G2-2

In two dimensions there are a set of symmetry operations on points $ \vec{v}$ :

$\displaystyle \vec{v} = \left(\begin{array}{c}v_x\\ v_y\end{array}\right)
$

that can be represented by matrix operations on vectors:

\begin{displaymath}
\mat {M} \vec{v} =
\left(
\begin{array}{cc}
m_{xx} & m_{xy}\...
...}\right)
\left(
\begin{array}{c}
v_x\\
v_y
\end{array}\right)
\end{displaymath}

Among the possible symmetry operation are:

Mirror Reflection across the $ x$ -axis

\begin{displaymath}
\left(
\begin{array}{cc}
-1 & 0\\
0 & 1
\end{array}\right)
\end{displaymath}

Mirror Reflection across the $ y$ -axis

\begin{displaymath}
\left(
\begin{array}{cc}
1 & 0\\
0 & -1
\end{array}\right)
\end{displaymath}

Rotation by $ \theta$ about the origin

\begin{displaymath}
\left(
\begin{array}{cc}
\cos \theta & -\sin \theta\\
\sin \theta & \cos \theta
\end{array}\right)
\end{displaymath}

Use these operations and modify the MATHEMATICA$ ^{\mbox{\scriptsize {\textregistered }}}$ example in
http://pruffle.mit.edu/3.016/ProblemSets/HW-2-Setup.nb and illustrate an object that has:

  1. Mirror symmetry across the $ x$ -axis.

  2. A 2-fold rotation symmetry and mirror symmetry across the $ y$ -axis.

  3. A mirror plane rotated by $ \ensuremath{{45}^\circ}$ from the $ x$ -axis.



© W. Craig Carter 2003-, Massachusetts Institute of Technology